出品:卖家之家
作者:Yola
美国商标申请又爆雷!
美国当地时间8月25日,美国商标专利局对深圳某公司发出《理由陈述令》,直指该深圳公司触犯法律法规,要求该深圳公司在9月初对在《理由陈述令》中提及到的多项疑问提供相应的实质证据。

根据企查查给出的信息,这家深圳公司从事国内外商标注册、专利申请、版权登记,同时也为客户提供深圳 / 香港公司注册,银行开户、年审、做账审计;政府资助项目申报、企业资质认证、产品检测认证等一系列业务。

可见,该公司业务涵盖范围非常的广,在2013年6月3日就成立了,算算到今天也有9年多了。营业时间这么久的公司这次为何被美国专利及商标局(USPTO)点名呢。
冒用去世律师的名义提交申请
USPTO提交的证据显示,该深圳公司通过一位名为“Jeffrey Stewart Firestone”的美国律师进行商标申请,但该律师已于2021年7底去世。可奇怪的是,2021年8月以后,USPTO仍然收到由该名律师签名的超过300份文件。

此外,该公司还委托了名为“Jackson George”的律师进行商标处理,提交了上千份商标申请。可是在USPTO查验后,又发现了可疑之处。虽然确实存在名为“Jackson George III”的美国律师,但是该律师已经向USPTO回应自己并未给任何商标领域申请提供代理服务。

远不止如此,USPTO提供的证据显示,该深圳公司经常以极高的效率申请商标,并且有过同一时间从不同计算机发出的递交记录。
虚假的商标使用记录
在该公司提交的申请文件中,USPTO发现了大量的虚假使用证据。例如,该公司多次提交1981mall.com网站作为使用证据,但经查验,该网站只是为了在商标申请重生成使用证据而创建的,并非是出售真实商品的合法电子商务网站。

该网站上的联系我们,没有列出详细的地址,而且提供的电话号码也是出错的,并非为美国电话号码的正确数位。

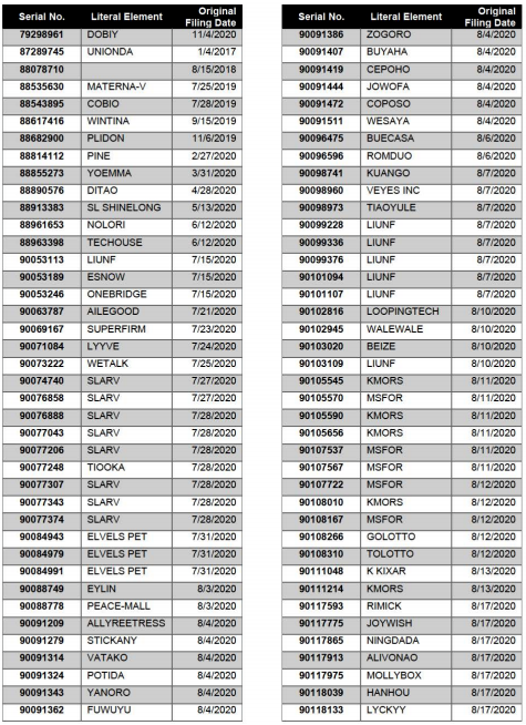
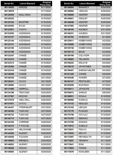
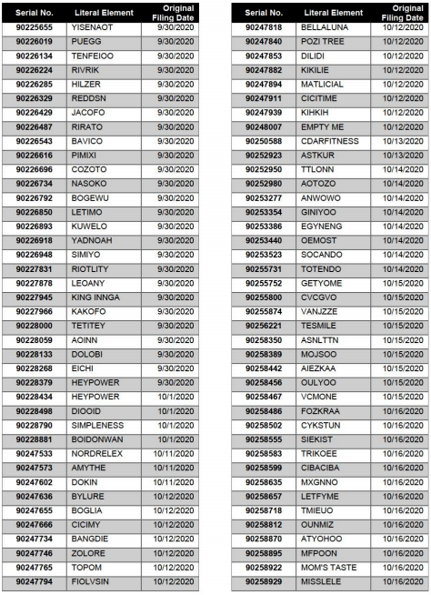
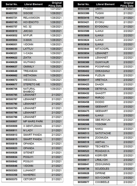
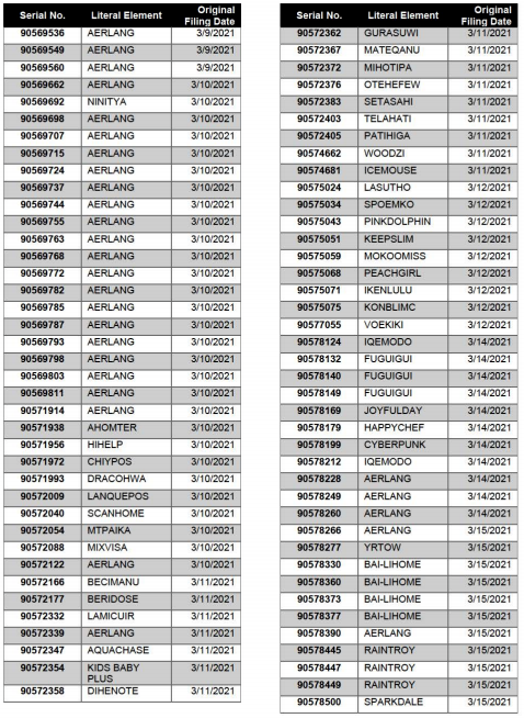
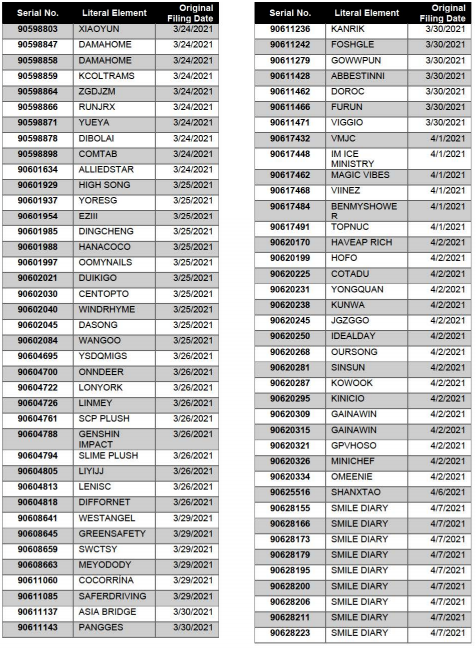
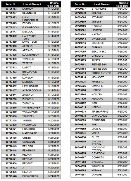
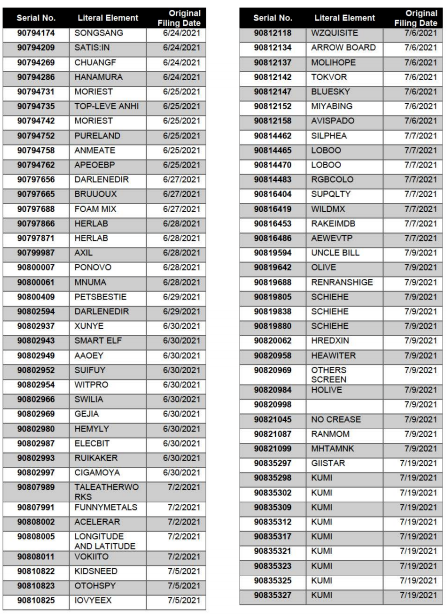
需要卖家注意的是,《理由陈述令》中也列举了该公司提交的2200+美国商标,若是9月初未能提交相应的应诉证据,这些商标都有可能会受影响。
接下来卖家们一定要自查,自己是否在其中。





























犹记得上次,深圳某知识产权代理公司的15000个美国商标,被美国商标专员强制撤销!如今商标再爆雷,又将有多少卖家陷入困境。
有一些卖家已经用了多年的老商标,可能一招之间就要面临商标无效、品牌备案异常等惨重后果。
而这不是终点,未来USPTO会采取各种措施加强对代理机构的监查,那么暴雷也将是常有的事情。
商标对于卖家的重要性,就好比开拓海外市场的一张门票,如果没有门票,谈何星辰大海呢。所以,做生意,求发展,商标要搞好。不知道这次商标暴雷事件,你是否是其中的受害者之一呢?欢迎底下留言区抱团取暖。

{{comment.user.nickName}} (楼主)
{{comment.time}} 回复({{comment.childAmount}}) 点赞({{comment.voteUpAmount}}) 点赞({{comment.voteUpAmount}})